Pengertian dan Notasi ERD(ENTITY RELATIONSHIP DIAGRAM)

ERD adalah pemodelan data atau sistem dalam database yang sudah sering digunakan oleh banyak lembaga. 
Fungsinya ERD adalah untuk memodelkan struktur dan hubungan antar data yang relatif kompleks. 
Keberadaan sistem ERD sangat penting untuk perusahaan dalam mengelola data yang dimilikinya

a. NOTASI KOMPLET ERD


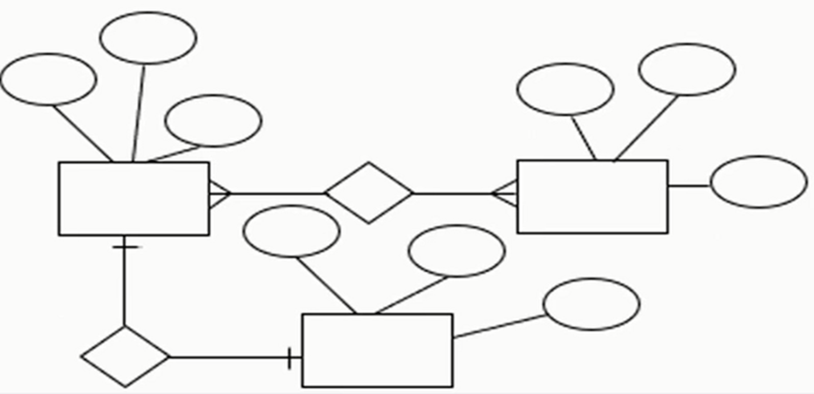
1. ENTITAS


a. Entitas adalah sebuah objek berwujud nyata yang dapat dibedakan dengan objek lainnya. Objeknya dapat bersifat konkret maupun abstrak. Data konkret adalah sesuatu yang benar-benar ada atau dapat dirasakan oleh alat indra, sedangkan abstrak tidak berwujud.
b. Orang, buku, pegawai, perusahaan merupakan jenis entitas konkret. Berbeda dengan mata kuliah, kejadian, pekerjaan adalah benda tak berwujud.


2. ATRIBUT / Fiel
a. Field atau disebut sebagai atribut. Setiap entitas memiliki atribut untuk mendeskripsikan karakteristik dari suatu entitas. 
b. Untuk jenisnya dibedakan menjadi beberapa jenis, yaitu
Atribut key, atribut yang unik dan berbeda. Misalnya, Nomor pokok mahasiswa (NPM), NIM dan nomor pokok lainnya.
Atribut Composite, atribut yang terdiri dari beberapa sub atribut yang memiliki arti tertentu. Contohnya, nama lengkap yang dipecah menjadi nama depan, tengah, dan belakang.
Dan atribut deviratif, yang dihasilkan dari atribut atau relasi lain. Jenis atribut ini tidak wajib ditulis dalam diagram ER atau pun disimpan dalam database. Sebagai contoh deriative attribute adalah usia, kelas, selisih harga, dan lain-lain.



3. RELASI

Relasi, hubungan antar entitas untuk menunjukkan adanya koneksi di antara sejumlah entitas yang berasal dari himpunan entitas berbeda.
Contohnya: 
 *Siswa “meminjam” Buku
 *Guru “mengajar” banyak Siswa

Dalam ERD terdapat kardinalitas relasi atau rasio kardinalitas untuk memetakan bagaimana data berhubungan satu sama lain yang terbagi menjadi empat, yaitu:
1) One to One (1:1). Misalnya terdapat entitas A dan B. Setiap entitas pada himpunan entitas A berhubungan paling banyak dengan satu entitas pada himpunan entitas B, begitu pun sebaliknya. Jadi, setiap anggota entitas A hanya boleh berhubungan dengan satu anggota entitas B saja. 
Contohnya, satu Siswa memiliki satu Buku perpustakaan atau satu siswa (1) memiliki satu nomor siswa (1), dan sebaliknya.

2) One to many (1:M). Satu ke Banyak ini maksudnya adalah setiap entitas pada himpunan entitas A dapat berhubungan dengan banyak entitas pada himpunan entitas B. Dengan kata lain, setiap anggota entitas A dapat berhubungan dengan lebih dari satu anggota entitas B. Akan tetapi, tidak sebaliknya.
 Contoh dari relasi One to Many ini adalah satu Guru (1) “mengajar” banyak siswa (M), atau siswa mengikuti banyak ekstrakurikuler.


3) Many to Many (M:N). Setiap entity pada kumpulan entitas A dapat berhubungan dengan banyak entitas pada kumpulan data entitas B. Misalnya, banyak siswa (M) mempelajari banyak pelajaran (N). Demikian pula sebaliknya, banyak pelajaran (N) dipelajari banyak siswa (M).

4. GARIS
Fungsi dari garis ini tidak hanya sebatas penghubung antar himpunan relasi dengan himpunan entitas, serta himpunan entitas dengan atributnya. Garis dapat mempermudah pengguna untuk melihat dan mengetahui alur sebuah ERD sehingga nampak jelas awal dan akhirnya




























Komentar

Postingan populer dari blog ini

Fungsi dan larangan DFD

Pengertian dan Keuntungan serta kekurangan CSS